
В том году Радоница приходится на вторник, поэтому у новороссийцев будет совсем немного времени для работы. У россиян на следующей неделе – 3 рабочих дня, у нас – два, при этом предпраздничный день, 30 апреля – сокращенный.
Правда, на многих предприятиях работают, несмотря на официальные праздники. Хотя руководители уточняют – нужно съездить на кладбище – пожалуйста. Но на работу – возвращайтесь.
Как отметил Юрий Бурлачко, соблюдение традиций этого поминального дня считается важным элементом для народа, его духовной культуры, способствующим сохранению семейных ценностей.
— В 2023 году на майской сессии мы приняли краевой закон «Об объявлении в Краснодарском крае Дня поминовения усопших (Радоницы) нерабочим (праздничным) днем». Тем самым мы поддержали позицию губернатора Кубани Вениамина Кондратьева на протяжении многих лет объявлявшего Радоницу выходным днем специальным постановлением.
По Постановлению губернатора, при совпадении Дня поминовения усопших с уже существующим выходным перенос не предусмотрен.
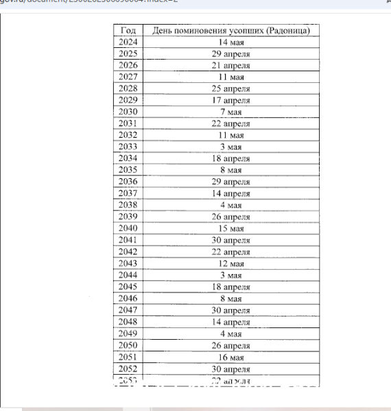
Радоница приходится на апрельские и майские дни. В следующем году она приходится на 21 апреля, а в 2051 году мы будем отмечать ее 16 мая.

